近日,黄色漫画网站
电子科学与技术系主任童美松教授收到美国国家科黄色漫画网站
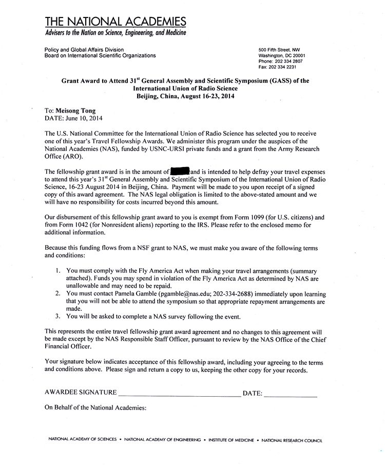
国际科学组织委员会主任Kathie Bailey的来信,通知他已被国际无线电科学联盟美国国家委员会选为2014年的Travel Fellowship奖获得者,5000美元的奖金将用于资助他参加今年八月在我国首都北京举行的第31届国际无线电科学联盟大会暨科学研讨会(The 31st General Assembly and Scientific Symposium of the International Union of Radio Science)。上述奖项由美国科黄色漫画网站
(NAS)、国际无线电科学联盟美国国家委员会(USNC-URSI)及陆军研究办公室(ARO)共同支持和赞助,由美国科黄色漫画网站
国际科学组织委员会负责管理,旨在吸引和资助无线电科学领域的著名科学家参加国际无线电科学联盟大会暨科学研讨会。
国际无线电科学联盟大会暨科学研讨会是无线电科学及其紧密相关的电磁场与微波、天线领域最顶级的学术会议之一(另一顶级会议是由IEEE天线与传播学会举办的IEEE天线与传播国际研讨会),每三年举行一次,首次会议于1922年在比利时首都布鲁塞尔举办,今年首次由我国电子学会在北京举办,预计将有来自世界各地的论文作者、参展商等4000多人参加,它将是无线电科学领域规模最大的高水平学术盛会之一。(万国春)

发布日期:2014-06-27
上一条:黄色漫画网站
召开学生座谈会
下一条:控制系召开2010级自动化专业毕业生座谈会